beat365(中华)品牌公司-Official website
设为首页
|
加入收藏
集团首页
公司首页
关于我们
院系简介
院系领导
团队队伍
beat365新闻
教学科研
专业介绍
教学大纲
教学制度
毕业实习
教学动态
科学研究
课程思政
党团工作
就业指导
实验中心
实验实训室
规章制度
实验室安全
实验室预约
评估工作
政策文件
评估知识
评估动态
它山之石
下载中心
党团工作
党团工作
公司首页
>
党团工作
> 正文
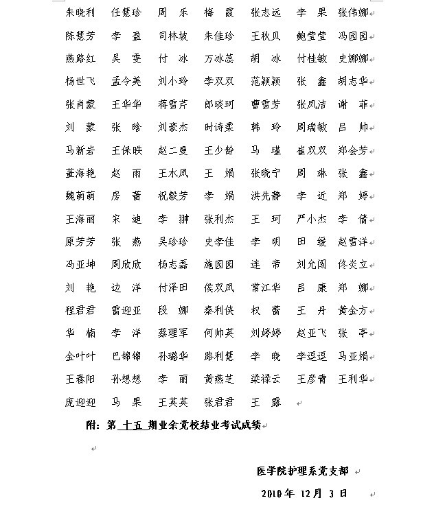
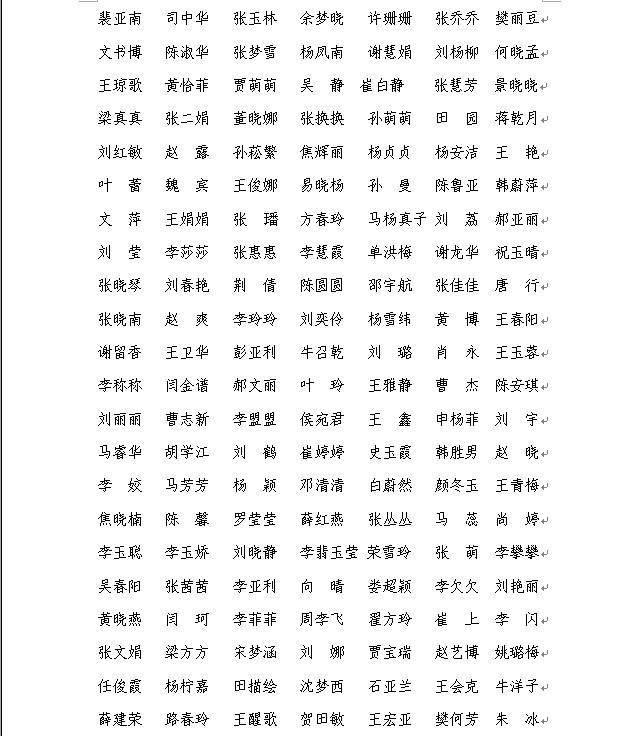
第十五期业余党课结业考试成绩合格名单
来源:beat365 时间:2010-12-30 00:00:00 浏览:
(责任编辑:admin)
上一条:beat365护理系2011年上半年教师政治学习计划
下一条:郑州华信公司第 11 期预备党员公示表